Update Pandemi Covid-19 14 Desember 2020: 15 Negara Catatkan Kasus Lebih dari 1 Juta, AS 16,7 Juta
Covid-19 di seluruh dunia per Senin 14 Desember 2020. Tercatat hingga hari ini Senin pukul 08.30 WIB, Covid-19 telah menginfeksi 72,638,964 orang
Penulis: Imam Saputro | Editor: Imam Saputro
Meninggal: 40.766
Sembuh: 1.335.317
Data lengkap bisa diakses di worldometers.info.
Update Kasus Covid-19 di Indonesia
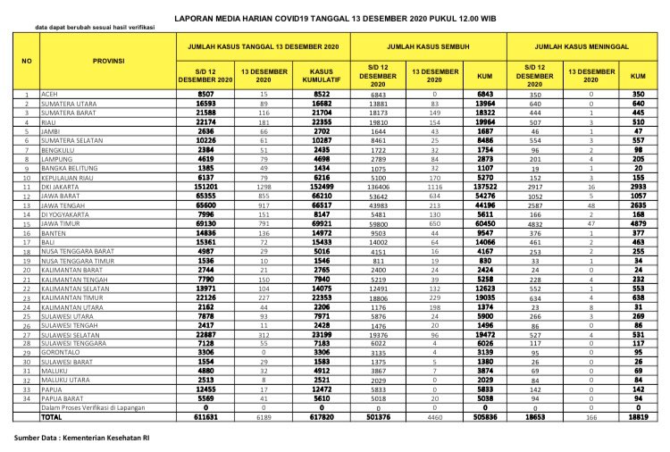
Sebanyak 6.189 kasus baru terkonfirmasi positif virus corona pada Minggu (13/12/2020).
Temuan ini menambah jumlah kasus di Indonesia menjadi 617.820 orang.
Diketahui, pada Sabtu (12/12/2020) lalu jumlah kasus virus corona di Tanah Air ialah 611.631.
Kementerian Kesehatan (Kemenkes) memaparkan, kasus baru pada hari ini tersebar di 33 provinsi dengan Gorontalo menjadi satu-satunya wilayah yang tidak mencatat penambahan kasus.
Sementara, DKI Jakarta, Jawa Barat, Jawa Tengah, dan Jawa Timur tercatat sebagai penyumbang kasus harian tertinggi.
DKI mencatat 1.298 kasus, Jawa Barat 855 kasus, Jawa Tengah 917 kasus, dan Jawa Timur 791 kasus.
Keempat provinsi tersebut juga tercatat sebagai wilayah dengan jumlah kasus konfirmasi positif Covid-19 tertinggi.

Rincian kasus: sembuh, meninggal, aktif
Selain kasus baru, pemerintah melalui Kemkes dan Satuan Tugas Penanganan Covid-19 juga mencatat penambahan pasien sembuh dan meninggal.
Disampaikan bahwa 4.460 pasien dinyatakan sembuh dalam 24 jam terakhir.
Sehingga kini jumlah pasien sembuh menjadi 505.836 orang atau 81,9 persen dari keseluruhan kasus konfirmasi positif.
Sementara kasus kematian bertambah 166 jiwa menjadi 18.819.
Jumlah ini sekaligus menunjukkan bahwa tingkat kematian atau case fatality rate di Indonesia berada pada angka 3 persen.
Adapun dari rincian ini juga diperoleh data bahwa masih ada 93.165 orang pasien virus corona yang menjalani perawatan.
Sebaran Covid-19 di Indonesia
Telah diketahui bahwa kasus virus corona tersebar di 34 provinsi di Tanah.
Dari sejumlah tersebut, ada beberapa wilayah yang tercatat memiliki jumlah kasus tertinggi.
Di antaranya ialah DKI Jakarta, Jawa Timur, Riau, dan Kalimantan Timur.
Berikut data 10 provinsi dengan jumlah kasus tertinggi selengkapnya.
1. DKI Jakarta
Kasus baru: 1.298
Total kasus: 152.499
Sembuh: 137.522
Meninggal: 2.933
2. Jawa Timur
Kasus baru: 791
Total kasus: 69.921
Sembuh: 60.450
Meninggal: 4.879
3. Jawa Tengah
Kasus baru: 917
Total kasus: 66.517
Sembuh: 44.196
Meninggal: 2.635
4. Jawa Barat
Kasus baru: 855
Total kasus: 66.210
Sembuh: 54.276
Meninggal: 1.057
5. Sulawesi Selatan
Kasus baru: 312
Total kasus: 23.199
Sembuh: 19.472
Meninggal: 531
6. Riau
Kasus baru: 181
Total kasus: 22.355
Sembuh: 19.964
Meninggal: 510
7. Kalimantan Timur
Kasus baru: 227
Total kasus: 22.353
Sembuh: 19.035
Meninggal: 658
8. Sumatra Barat
Kasus baru: 116
Total kasus: 21.704
Sembuh: 18.322
Meninggal: 445
9. Sumatra Utara
Kasus baru: 89
Total kasus: 16.682
Sembuh: 13.964
Meninggal: 640
10. Bali
Kasus baru: 72
Total kasus: 15.433
Sembuh: 14.066
Meninggal: 463
(TribunPalu.com)